Enhanced TDS
Identification & Functionality
- Chemical Family
- Fillers Included
- RTU Product Type
- Technologies
- Product Families
Features & Benefits
- Ready-to-Use Product Features
- Key Properties
- High resistance to mechanical and electrical stresses
- High resistance to thermal shock
- Excellent long-term behavior in relation to breakdown strength
Applications & Uses
- Composites Processing Methods
- Product End Uses
- Markets
- Applications
- Processing Information
General instructions for preparing liquid resin systems
- Long pot life is desirable in the processing of any ARALDITE ® casting resin system. Mix all of the components together very thoroughly at 55°C temperature or slightly above and under vacuum. Intensive wetting of the filler is extremely important. Proper mixing will result in:
- better flow properties and reduced tendency to shrinkage
- lower internal stresses and therefore improved mechanical properties on object
- improved partial diskharge behavior in high voltage applications.
- For the mixing of medium to high viscous ARALDITE® casting resin systems and for mixing at lower temperatures, we recommend special thin film degassing mixers that may produce additional self-heating of 10-15 K as a result of friction. For low viscous ARALDITE® casting resin systems, conventional anchor mixers are usually sufficient. In larger plants, two premixers are used to mix the individual components (ARALDITE® and ARADUR®) with the respective quantities of fillers and additives under vacuum. Metering pumps then feed these premixes to the final mixer or a continuous mixer. The individual premixes can be stored at elevated temperature (< 60°C) for up to about 1 week, depending on formulation. Intermittent agitation during storage is advisable to prevent filler sedimentation.
- Mixing time can vary from 0.5 to 3 hours, depending on mixing temperature, quantity, mixing equipment and the particular application. The required vacuum is 0.5 to 8 mbar. The vapor pressure of the individual components should be taken into account. In the case of dielectrically highly stressed parts, we recommend checking the quality consistency and predrying of the filler. Their moisture content should be < 0.2%.
Specific Instructions
The effective pot-life of the mix is about 2 days at temperatures below 25°C. Conventional batch mixers should be cleaned once a week or at the end of work. For longer interruptions of work, the pipes of the mixing and metering installllations have to be cooled and cleaned with the resin component to prevent sedimentation and/or undesired viscosity increase. Interruptions over a week-end (approx. 48h) without cleaning are possible if the pipes are cooled at temperatures below 18°C.
Mold temperature
APG process: 130 - 160°C
Conventional vacuum casting: 70 - 100°C
Demolding times (depending on reactivity, mold temperature and casting volume)
APG process: 10 - 40 min
Conventional vacuum casting: 5 - 8 h
Postcure conditions
APG process (minimal postcure): 4h at 130°C or 3h at 140°C
Conventional vacuum casting: 12h at 130°C or 8h at 140°C- To determine whether crosslinking has been carried to completion and the final properties are optimal, it is necessary to carry out relevant measurements on the actual object or to measure the glass transition temperature. Different gelling and cure cycles in the manufacturing process could lead to a different crosslinking and glass transition temperature respectively.
- Fillers
The addition of powdered mineral filler such as silica flour, Microdol, chalk flour, etc. has been found to improve the performance of castings in a large number of applications. In particular, the use of mineral fillers:
- Reduces shrinkage and decreases exothermic temperature rise on curing.
- Imparts a lower coefficient of thermal expansion.
- Improves thermal conductivity.
- Imparts a higher elastic modulus but reduces elongation at break.
- Cuts the production cost per casting.
The performance data given below for filled system was all determined using standard test specimens containing mixed various fillers.
- Processing Methods
- Conventional gravity with stagewise curing, or pressure gelation or automatic pressure gelation process (PG or APG process)
Technical Details & Test Data
- Properties
General instructions for preparing liquid resin systems
- Long pot life is desirable in the processing of any casting resin system. Mix all of the components together very thoroughly at room temperature or slightly above and under vacuum. Intensive wetting of the filler is extremely important.
- Proper mixing will result in: - better flow properties and reduced tendency to shrinkage - lower internal stresses and therefore improved mechanical properties on object - improved partial discharge behaviour in high voltage applications.
- For the mixing of medium- to high viscous casting resin systems and for mixing at lower temperatures, we recommend special thin film degassing mixers that may produce additional self-heating of 10-15 °C as a result of friction.
- For low viscous casting resin systems, conventional anchor mixers are usually sufficient. In larger plants, two pre-mixers are used to mix the individual components (resin, hardener) with the respective quantities of fillers and additives under vacuum.
- Metering pumps then feed these premixes to the final mixer or a continuous mixer. The individual premixes can be stored at elevated temperature (about 60°C) for up to about 1 week, de- pending on formulation.
- Intermittent agitation during storage is advisable to prevent filler sedimentation. Mixing time can vary from 0.5 to 3 hours, depending on mixing temperature, quantity, mixing equipment and the particular application. The required vacuum is 0.5 to 8 mbar.
- The vapor pressure of the individual components should be taken into account. In the case of dielectrically highly stressed parts, we recommend checking the quality consistency and pre-drying of the filler. Their moisture content should be < 0.2%.
Specific Instructions
- The effective pot-life of the mix is about 1 to 2 days at temperatures below 25°C. Conventional batch mixers should be cleaned once a week or at the end of work.
- For longer interruptions of work, the pipes of the mixing and metering installations have to be cooled and cleaned with the resin component to prevent sedimentation and/or undesired viscosity increase.
- Interruptions over a week-end (approx. 48h) without cleaning are possible if the pipes are cooled at temperatures below 18°C. For data on viscosity increase and gel time at various temperatures, refer to Figs: 4.1 and 4.4.
Property Value Unit Condition Mold Temperature (APG process) 130 - 150 °C APG process Mold Temperature (Conventional vacuum casting) 80 - 100 °C Conventional vacuum casting
Accelerator Content - % - Demolding Time (APG process) 10 - 30 min APG process Demolding Time (Conventional vacuum casting) 2 - 4 hours Conventional vacuum casting
Cure Conditions (APG process) 10h at 140°C hours APG process (minimum post curing)
Cure Conditions (Conventional vacuum casting) 16h at 140°C hours Conventional vacuum casting
To determine whether crosslinking has been carried to completion and the final proper-ties are optimal, it is necessary to carry out relevant measurements on the actual object or to measure the glass transition temperature. Different gel and postcuring cycles in the manufacturing process could influence the crosslinking and the glass transition temperature respectively.
Fig.4.1: Viscosity increase at 40, 60 and 80°C (measurements with Brookfield)

Fig.4.2: Initial viscosity in function of temperature (measurements with Brookfield)

Fig.4.4: Geltime measured in function of temperature (measurement with Gelnorm Instrument/ DIN16945/6.3.1)

Property Value Unit Test Method Condition Tensile Strength 75 - 85 MPa ISO 527 Cured for 6h at 80°C + 10h at 140°C
Elongation at Break 1.5 - 2.0 % ISO 527 Cured for 6h at 80°C + 10h at 140°C
E Modulus from Tensile Test 11'500 - 12'500 MPa ISO 527 Cured for 6h at 80°C + 10h at 140°C
Flexural Strength at 23°C 135 - 145 MPa ISO 178 Cured for 6h at 80°C + 10h at 140°C
Surface Strain at 23°C 1.7 - 2.0 % ISO 178 Cured for 6h at 80°C + 10h at 140°C
Compressive Strength 145 - 155 MPa ISO 604 Cured for 6h at 80°C + 10h at 140°C
Compression Set 9 - 10 % ISO 604 Cured for 6h at 80°C + 10h at 140°C
Double Torsion Test 2.3 - 2.7 - CG 216-0/89 Cured for 6h at 80°C + 10h at 140°C
Critical Stress Intensity Factor (KIC) - MPa·m¹/² - Cured for 6h at 80°C + 10h at 140°C
Specific Energy at Break (GIC) 550 - 650 J/m² - Cured for 6h at 80°C + 10h at 140°C
Glass Transition Temperature (DSC) 78 - 90 °C ISO 11357-2 Cured for 6h at 80°C + 10h at 140°C
Coefficient of Linear Thermal Expansion 32 - 45 10⁻⁶ K⁻¹ ISO 11359-2 Mean value for temperature range: 30 - 50°C, Cured for 6h at 80°C + 10h at 140°C
Thermal Conductivity 0.85 - 0.95 W/m·K Similar to ISO 8894-1 Cured for 6h at 80°C + 10h at 140°C
Water Absorption (Specimen: 50x50x4 mm) 0.1 - 0.2 % by wt. ISO 62 10 days at 23°C, Cured for 6h at 80°C + 10h at 140°C
Water Absorption (Specimen: 50x50x4 mm) 0.1 - 0.2 % by wt. ISO 62 60 min at 100°C, Cured for 6h at 80°C + 10h at 140°C
Decomposition Temperature (TGA) 360 °C TGA Heating rate: 10 K/min, Cured for 6h at 80°C + 10h at 140°C
Fig.5.1: Coefficient of linear thermal expansion as a function of temperature (ISO 11359-2)

Note : Filler grades and quality can influence the end properties of the mixed system.
Property Value Unit Test Method Condition HV Arc Resistance 182 - 185 s ASTM D 495 Cured for 6h at 80°C + 10h at 140°C
Tracking Resistance (Test Solution A) > 600 - < 1 CTI IEC 112 Cured for 6h at 80°C + 10h at 140°C
Tracking Resistance (Test Solution B) > 600M - < 1 CTI IEC 112 Cured for 6h at 80°C + 10h at 140°C
Electrolytic Corrosion Effect - grade DIN 53489 Cured for 6h at 80°C + 10h at 140°C
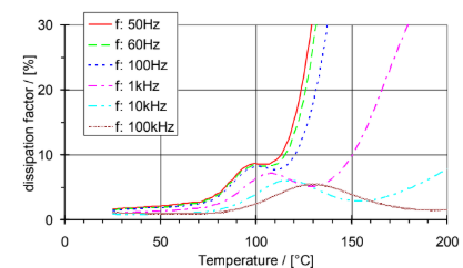
Fig.6.1: Loss factor as a function of temperature

Fig.6.2: Dielectric constant as a function of temperature

Fig.6.3: Dielectric constant as a function of temperature

Note : Filler grades and quality can influence the end properties of the mixed system.
Storage & Handling
- Storage Conditions
The components have to be stored under dry conditions at 2-40°C, in tightly sealed original containers. Under these conditions, the shelf life will correspond to the expiry date stated on the label. After this date, the product may be processed only following reanalysis. Partly emptied containers should be closed tightly immediately after use.
Other
- Application Information
Value Units Test Method / Conditions Mix Ratio 3.0 %(W) %(W) Filler : Resin Mix Ratio 0.05 %(W) %(W) Flexibilizer : Resin Mix Ratio 0.8 %(W) %(W) Hardener : Resin